蓝莓盆栽各项指标的综合评价
2020-04-20
17
核心提示:蓝莓盆栽各项指标的综合评价
3蓝莓盆栽各项指标的综合评价
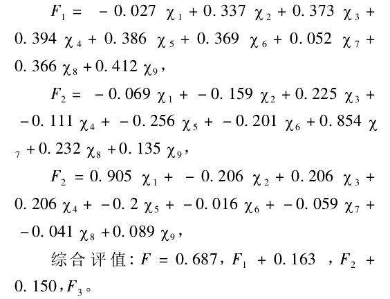
以蓝莓的成活率、株高、冠幅、基生枝长、延生枝长、枝条粗度、叶绿素SPAD值、净光合速率和荧光指数等9个因素作为评价因子,利用SPSS20.0软件进行主成分分析,并得到相关矩阵的特征根及特征向量累积贡献率,系统默认方差大于1的为主成分,所以用第一主成分、第二主成分和第三主成分作为评价的综合指标。

通过计算各指标与前三个主成分的关系为:


由第一主成分、第二主成分和第三主成分与客观权重之积,得到不同基质对蓝莓生长的综合影响评判结果。在D和C基质里的“北陆”和“达柔”两个蓝莓品种的得分较高,生长的综合影响评分分别为3.215、3.018、1.150和1.043,且得分均大于1,生长的综合影响评价分别排在1、2、3和4位。表3~4
